• помогите решить пожалуйста. вычислить определенный интеграл:

    question img

Ответы 2

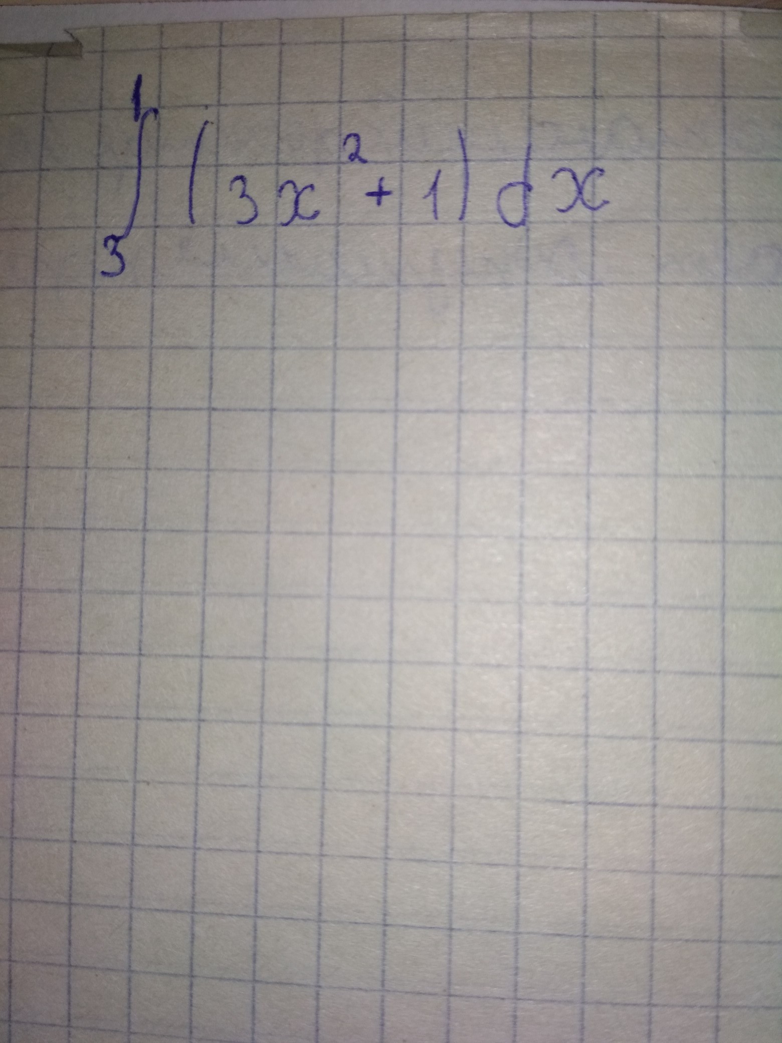
  •  \int\limits^1_3 {3 x^{2} +1} \, dx =  x^{3} +x \int\limits^1_3=( 1^{3}+1 )-( 3^{3}+1 )=

= 2-28=-26
  • \int\limits^1_3(3x^2+1)dx=-\int\limits^3_1(3x^2+1)dx=-(x^3+x)|^3_1=\\=-28+2=-26
    • Автор:

      emilia7
    • 6 лет назад
    • 0
  • Добавить свой ответ

Войти через Google

или

Забыли пароль?

У меня нет аккаунта, я хочу Зарегистрироваться

How much to ban the user?
1 hour 1 day 100 years