• Помогите решить. С подробным решением ,пожалуйста
    Ответы
    1) не имеет решений
    2){1}
    3)(-1;1)
    4)R-{1}

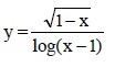
    question img

Ответы 1

  • Правильный ответ 1.Найдем ОДЗ: система {1 - x}  > 0 \\  x - 1  > 0получаем,системаx  < 1 \\ x > 1пересекаем две полученные области, получаем что корней данное уравнение не имеет
  • Добавить свой ответ

Войти через Google

или

Забыли пароль?

У меня нет аккаунта, я хочу Зарегистрироваться

How much to ban the user?
1 hour 1 day 100 years