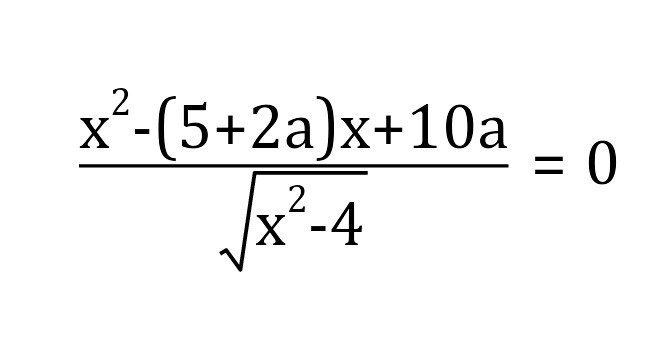
• При каких значениях параметра а уравнение имеет единственное решение?

    question img

Ответы 1

  • Скорее всего решение такое x^{2} - x(5+2a)+10a=0 D= (5+2a)^{2}-4*10a=4 a^{2} -20a+25 
 4a^{2}-20a+25=0  ⇒ D=400-400=0 ⇒ a=20/8=5/2Если подставить a в первый дискриминант мы получим D=100-100=0Соответственно x=5
  • Добавить свой ответ

Еще вопросы

Войти через Google

или

Забыли пароль?

У меня нет аккаунта, я хочу Зарегистрироваться

How much to ban the user?
1 hour 1 day 100 years