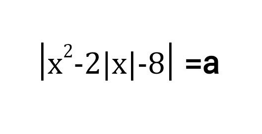
• Сколько решений имеет уравнение в зависимости от значения параметра а?

    question img

Ответы 3

  • Спасибо большое
    • Автор:

      hilarión
    • 6 лет назад
    • 0
  • 1. если а<0, то уранение корней не имеет.2. если а=0, тох²-2|х|-8=02.1. х>0х²-2х-8=0х1х2=-8х1+х2=2х1=4х2=-2<0 не подходит.2.2. х<0х²+2х-8=0х1х2=-8х1+х2=-2х1=-4х2=2>0 не подходит.3. если а>03.1. х>0 и х²-2х-8=ах²-2х-8-а=0Д=4-4(-8-а)=4+32+4а=36+4а=4(9+а)> 0 для любого а>0, значит имеем два корнях1=(2-2√(9+а))/2=1-√(9+а) <0 не подходитх2=1+√(9+а)3.2. х>0 и х²-2х-8=-ах²-2х-8+а=0Д=4-4(-8+а)=4+32-4а=36-4а=4(9-а)3.2.1. а<9, тогда Д=4(9-а)>0 , тогда два корнях1=(2-2√(9-а))/2=1-√(9-а)≤0 не походитх2=1+√(9-а).3.2.2. а=9, тогда Д=0 и х1=х2х1=х2=2/2=13.2.3. а>9 Д<0 уравнение решений не имеет3.3. х<0 и х²+2х-8=ах²+2х-8-а=0Д=4-4(-8-а)=4(9+а)>0 для любого а>0х1=(-2-2√(9+а))/2=-1-√(9+а)х2=-1+√(9+а)>0 не подходит.3.4. х<0 и х²+2х-8=-ах²+2х-8+а=0Д=4-4(-8+а)=4+32-4а=36-4а=4(9-а)3.4.1. а<9, тогда Д=4(9-а)>0 , тогда два корнях1=(-2-2√(9-а))/2=-1-√(9-а)х2=-1+√(9-а)≥0 не подходит.3.4.2. а=9, тогда Д=0 и х1=х2х1=х2=-2/2=-13.4.3. а>9 Д<0 уравнение решений не имеет
  • Решение задания приложено
    answer img
    • Автор:

      rockud5s
    • 6 лет назад
    • 0
  • Добавить свой ответ

Еще вопросы

Войти через Google

или

Забыли пароль?

У меня нет аккаунта, я хочу Зарегистрироваться

How much to ban the user?
1 hour 1 day 100 years