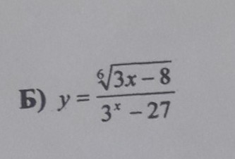
• задание : Знайти область визначення . помогите пожалуйста

    question img

Ответы 1

  •  3x-8\geq 03x \geq 8x \geq  \frac{8}{3}  3^{x}-27 eq 0  3^{x}  eq 27 3^{x}  eq  3^{3} x eq3x∈ [8/3;3)∪(3,+∞)
    • Автор:

      madelynn
    • 6 лет назад
    • 0
  • Добавить свой ответ

Войти через Google

или

Забыли пароль?

У меня нет аккаунта, я хочу Зарегистрироваться

How much to ban the user?
1 hour 1 day 100 years