• Дифференциальные уравнение, кто нибудь знает как их решит? Пишите ответы пожалуйста. Мне надо получит допуск к экзамену. Заранее спасибо.

    question img
    question img

Ответы 6

  • вторую не знаешь как решит?
    • Автор:

      noé2dar
    • 6 лет назад
    • 0
  • А где второе?
    • Автор:

      amazon
    • 6 лет назад
    • 0
  • смотри там 2 задания
    • Автор:

      church
    • 6 лет назад
    • 0
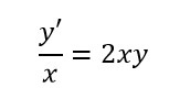
  • y'/x=2xy
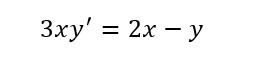
  • 3xy'=2x-y
    • Автор:

      joshua305
    • 6 лет назад
    • 0
  • Это ду с разделяющимися переменнымиу'/у=2x^2dy/y=2x^2dxlny=2*x^3/3+consty=e^(2/3*x^3+C)
  • Добавить свой ответ

Еще вопросы

Войти через Google

или

Забыли пароль?

У меня нет аккаунта, я хочу Зарегистрироваться

How much to ban the user?
1 hour 1 day 100 years