• Ребят, привет, буду очень благодарен.
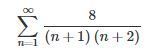
    Нужно найти сумму ряда и расписать как вы её нашли :

    question img

Ответы 6

  • Скажи а от куда там взялась 1/2
  • и 1/3 ?
  • не правильно
  • ..
    • Автор:

      cash
    • 6 лет назад
    • 0
  • 1/2-1/3=1/(2*3)
  • 8( \frac{1}{2*3}+ \frac{1}{3*4}+ \frac{1}{4*5}+...+ \frac{1}{(n+1)(n+2)})=    =8( \frac{1}{2}- \frac{1}{3}+ \frac{1}{3}- \frac{1}{4}+ \frac{1}{4}- \frac{1}{5}+...+ \frac{1}{(n+1)}- \frac{1}{(n+2)})=        =8( \frac{1}{2}- \frac{1}{n+2})= \frac{4n}{(n+2)}
  • Добавить свой ответ

Войти через Google

или

Забыли пароль?

У меня нет аккаунта, я хочу Зарегистрироваться

How much to ban the user?
1 hour 1 day 100 years