• Общим решением дифференциального уравнения cos xdx + e^-2y dy= 0 является ....
    (См. Фото)

    question img

Ответы 1

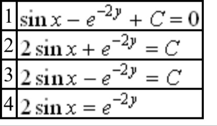
  •  cosxdx+e^{-2y}dy=0

     e^{-2y}dy=-cosxdx

     \int\limits{e^{-2y}} \, dy=-\int\limits{cosx} \, dx

     -\frac{1}{2}e^{-2y}=-sinx+C

     2sinx-e^{-2y}=C

    Ответ 3

    • Автор:

      kirsten
    • 6 лет назад
    • 0
  • Добавить свой ответ

Еще вопросы

Войти через Google

или

Забыли пароль?

У меня нет аккаунта, я хочу Зарегистрироваться

How much to ban the user?
1 hour 1 day 100 years