• помогите решить дробь.

    пропишите все действия, пожалуйста.

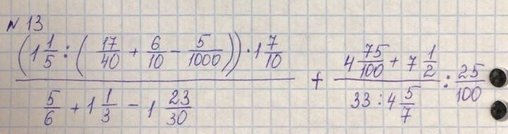
    question img

Ответы 1

  • 1) 1 \frac{1}{5}  \div ( \frac{17}{40}  +  \frac{6}{10}  -  \frac{5}{1000} ) =  \frac{6}{5}  \div ( \frac{425}{1000}  +  \frac{600}{1000}  -  \frac{5}{1000} ) =  \frac{6}{5}  \div  \frac{1020}{1000}  =  \frac{6}{5}  \times  \frac{100}{102}  =  \frac{20}{17} 2)  \frac{20}{17}  \times 1 \frac{7}{10}  =  \frac{20}{17}  \times  \frac{17}{10}  = 23)  \frac{5}{6}  + 1 \frac{1}{3}  - 1 \frac{23}{30}  =  \frac{25}{30}  +  \frac{40}{30}  -  \frac{53}{30}  =  \frac{12}{30}  =  \frac{2}{5} 4)  \frac{2}{ \frac{2}{5} }  = 2 \times  \frac{5}{2} = 5 5) 4 \frac{75}{100}  + 7 \frac{1}{2}  =  \frac{475}{100}  +  \frac{15}{2}  =  \frac{475}{100}  +  \frac{750}{100}  =  \frac{1225}{100}  =  \frac{49}{4} 6)  33  \div  4 \frac{5}{7}  = 33  \div  \frac{33}{7}  = 7 \frac{49}{4}  \div 7 =  \frac{7}{4} 7)  \frac{7}{4}  \div  \frac{25}{100}  =  \frac{7}{4}  \times  \frac{100}{25}  = 7
    • Автор:

      aimeev4yw
    • 6 лет назад
    • 0
  • Добавить свой ответ

Войти через Google

или

Забыли пароль?

У меня нет аккаунта, я хочу Зарегистрироваться

How much to ban the user?
1 hour 1 day 100 years