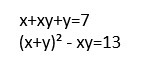
• Решите пожалуйста)Задания 9 класса,даю 20балов Срочно!!!!!!!!!!

    question img

Ответы 6

  • аа
    • Автор:

      bray
    • 6 лет назад
    • 0
  • понял
  • значит 2 часть я не так решил
  • спа ибо
  • спасибо
    • Автор:

      hart
    • 6 лет назад
    • 0
  • Вроде должно так решаться, но не уверен.Получается, решений вообще нет, т.е уравнение решено.
    answer img
  • Добавить свой ответ

Войти через Google

или

Забыли пароль?

У меня нет аккаунта, я хочу Зарегистрироваться

How much to ban the user?
1 hour 1 day 100 years