• Найти решение задачи Коши и проверить. Даю 100 баллов

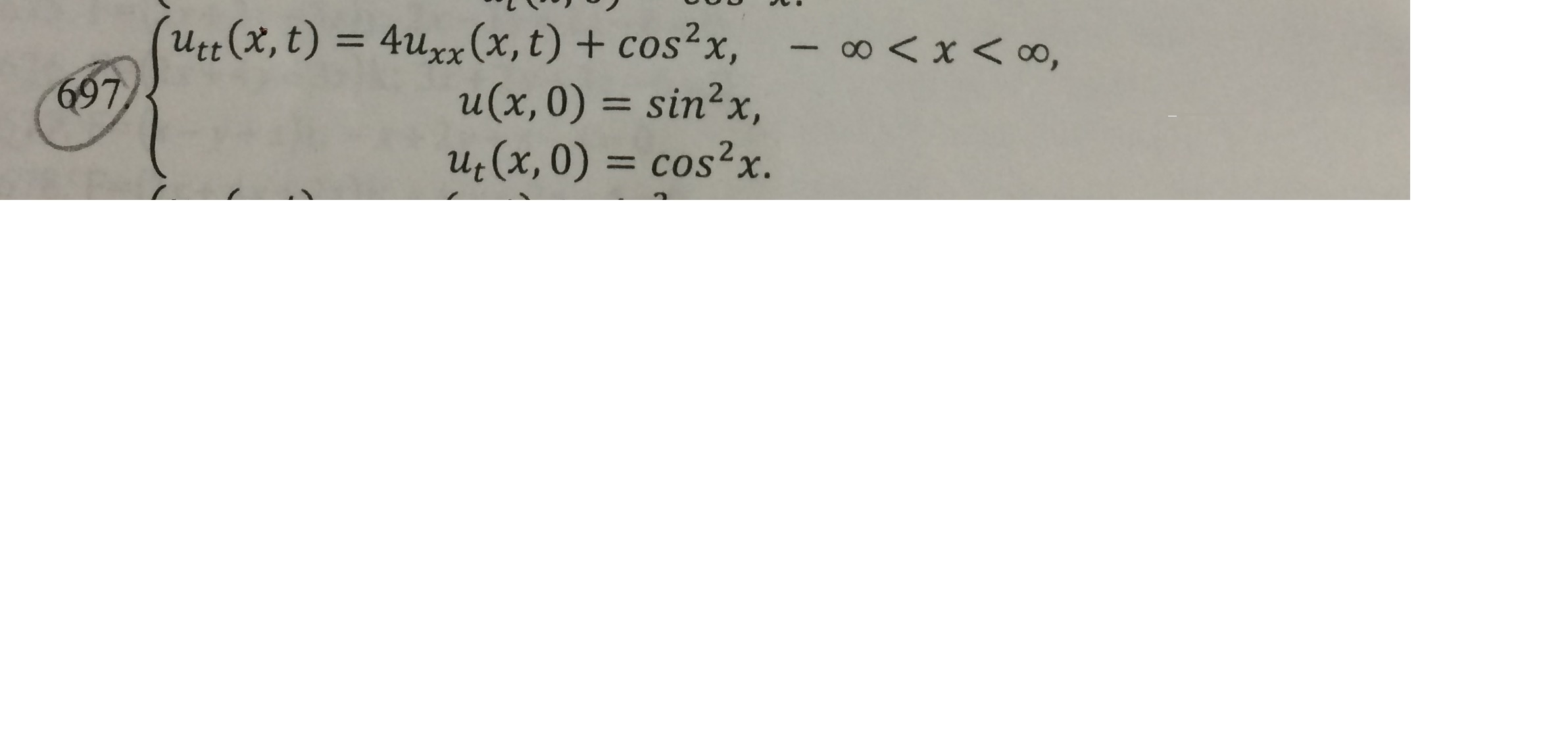
    question img

Ответы 1

  • Попробуем угадать вид решения.

    Заметим, что система переходит в себя при сдвиге x на π, значит, решение – периодическая по x функция с периодом, кратным π. Мысленно разложим это решение в ряд Фурье по 2x. Разные слагаемые в этом ряду ортогональны; поскольку в системе есть только слагаемые, пропорциональные 1 и cos 2x, то в решении все остальные коэффициенты будут тождественно равны нулю.

    Будем искать решение в виде u(x, t) = A(t) + B(t) cos 2x. Подставляем:

     \begin{cases}A''+B''\cos2x=-16B\cos2x+\dfrac12+\dfrac12\cos2x\\A(0)+B(0)\cos2x=\dfrac12-\dfrac12\cos 2x\\A'(0)+B'(0)\cos 2x=\dfrac12+\dfrac12\cos2x\end{cases}

     \begin{cases}\left(A''-\dfrac12ight)+\left(B''+16B-\dfrac12ight)\cos2x=0\\\left(A(0)-\dfrac12ight)+\left(B(0)+\dfrac12ight)\cos2x=0\\\left(A'(0)-\dfrac12ight)+\left(B'(0)-\dfrac12ight)\cos2x=0\end{cases}

    Приравнивая скобки к нулю, получаем две задачи Коши на коэффициенты A и B.

    1) A(t):

     \displaystyle\begin{cases}A''=\dfrac12\\A(0)=\dfrac12\\\,A'(0)=\dfrac12\end{cases}\\A'(t)=A'(0)+\int_0^tA''(t)\,dt=\frac12+\frac t2\\A(t)=A(0)+\int_0^tA'(t)\,dt=\frac12+\frac t2+\frac{t^2}4=\frac14(t^2+2t+2)

    2) B(t):

     \displaystyle\begin{cases}B''+16B=\dfrac12\\B(0)=-\dfrac12\\B'(0)=\dfrac12\end{cases}

    Общее решение уравнения B(t) = С cos 4t + D sin 4t + 1/32. Подставив решение в начальные условия, находим, что C = -(1/32 + 1/2) = -17/32; D = 1/2 : 4 = 1/8.

    Итак, B(t) выглядит так:

     \displaystyle B(t)=-\frac{17}{32}\cos4t+\frac18\sin4t+\frac1{32}=\frac1{32}(4\sin4t-17\cos4t+1)

    Окончательно

     \displaystyle\boxed{u(x,t)=\frac14(t^2+2t+2)+\frac1{32}(4\sin4t-17\cos4t+1)\cos2x}

    Проверка:

     u_{tt}=\dfrac14\cdot2-\dfrac1{32}\cdot16(4\sin4t-17\cos4t)\cos2x=\dfrac12-\dfrac12(4\sin4t-\\-17\cos4t)\\4u_{xx}=-4\cdot\dfrac1{32}\cdot4(4\sin4t-17\cos4t+1)\cos2x=-\dfrac12(4\sin4t-\\-17\cos4t+1)\\u_{tt}-4u_{xx}=\dfrac12+\dfrac12\cos2x=\cos^2x

     u(x,0)=\dfrac14(0+0+2)+\dfrac1{32}(0-17+1)\cos2x=\dfrac12-\dfrac12\cos2x=\sin^2x

     u'(x,0)=\dfrac14(0+2+0)+\dfrac1{32}(16-0+0)\cos2x=\dfrac12+\dfrac12\cos2x=\cos^2x

  • Добавить свой ответ

Еще вопросы

Войти через Google

или

Забыли пароль?

У меня нет аккаунта, я хочу Зарегистрироваться

How much to ban the user?
1 hour 1 day 100 years