• Найти интегралы (написать подробно как найден интеграл)

    question img

Ответы 2

  • Смотрите решение в прикреплённых файлах.

    answer img
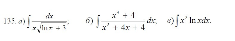
  •  1)\ \int \frac{dx}{x\sqrt{\ln x+3}}  = \int \frac{d(\ln x+3)}{\sqrt{\ln x+3}}  = 2\int \frac{d(\ln x+3)}{2\sqrt{\ln x+3}} = 2 \sqrt{\ln x+3}+C

     2)\ \int \frac{x^3+4}{x^2+4x+4} dx  = \int \frac{x^3+4}{(x+2)^2} dx  = \left[ \begin{matrix} x+2=t\\ dx=dt \end{matrix}ight ] = \int \frac{(t-2)^3+4}{t^2}dt=\\ =  \int \frac{t^3-6t^2+12t-4}{t^2}dt= \int (t-6)dt +12 \int \frac{dt}{t} -4 \int t^{-2} dt=\\ = \frac{1}{2}t^2-6t+12 \ln|t| + \frac{4}{t}  +C = \\ = \frac{1}{2}(x+2)^2-6(x+2)+12 \ln|x+2| + \frac{4}{x+2}  +C

     3)\ \int x^2 \ln xdx = \frac{1}{3} \int \ln x d(x^3) =  \frac{1}{3}x^3 \ln x-  \frac{1}{3} \int x^3 d(\ln x)= \\ = \frac{1}{3}x^3 \ln x-  \frac{1}{3} \int (x^3* \frac{1}{x} ) dx = \frac{1}{3}x^3 \ln x-  \frac{1}{3} \int x^2 dx =\\ = \frac{1}{3}x^3 \ln x-\frac{1}{9}x^3 +C

    answer img
  • Добавить свой ответ

Войти через Google

или

Забыли пароль?

У меня нет аккаунта, я хочу Зарегистрироваться

How much to ban the user?
1 hour 1 day 100 years