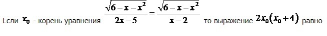
• Если x0 - корень уравнения√(6-x-x^2)/2x-5=√(6-x-x^2)/x-2 то выражение 2x0(x0+4) равно ...

    question img

Ответы 1

  • Допустим, что квадратные корни в числителях не равны 0.<br/>Числители одинаковы, значит, и знаменатели равны. Только потом надо будет проверить область определения.<br/>2x - 5 = x - 2<br/>2x - x = 5 - 2<br/>x = 3<br/>Проверяем корень<br/>√(6 - 3 - 9) = √(-6) - не подходит.<br/>Проверим числа, при которых квадратные корни равны 0.<br/>6 - x - x^2 = 0<br/>x^2 + x - 6 = 0<br/>(x + 3)(x - 2) = 0<br/>x1 = -3; x2 = 2<br/>Но корень x = 2 не подходит, при этом знаменатель справа равен 0.<br/>x0 = -3<br/>2*x0(x0 + 4) = 2(-3)(-3 + 4) = -6

  • Добавить свой ответ

Войти через Google

или

Забыли пароль?

У меня нет аккаунта, я хочу Зарегистрироваться

How much to ban the user?
1 hour 1 day 100 years