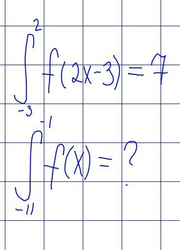
• Как решить подобную задачку? Числа записаны не точно, ибо записал напамять что вспомнил с экзамена. Если нерешаемая, то составить аналогичную задачу и решить.

    question img

Ответы 1

  • нужно воспользоваться элементарными преобразованиями. Но там пределы у вас вроде бы стоят неверные (не получится так решить), но другого способа и нет.

    answer img
    • Автор:

      huynh
    • 6 лет назад
    • 0
  • Добавить свой ответ

Войти через Google

или

Забыли пароль?

У меня нет аккаунта, я хочу Зарегистрироваться

How much to ban the user?
1 hour 1 day 100 years