• СРОЧНО ПОМОГИТЕ С ЗАДАНИЕМ! БУДУ ОЧЕНЬ БЛАГОДАРНА
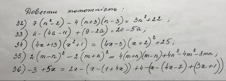
    Доведіть тотожність (докажите тождество) ТОЛЬКО 35 пример нужно

    question img

Ответы 1

  • 2 {(m - n)}^{2}  -  2{(m + n)}^{2}  = 4(m + n)(m - n) + 4 {n}^{2}  - 4 {m}^{2}   - 8mn \\ 2( {(m - n)}^{2}  -  {(m + n)}^{2} ) = 4( {m}^{2}  -  {n}^{2} ) + 4 {n}^{2}  - 4 {m}^{2}  - 8mn \\ 2(m - n + m + n)(m - n - m - n) = 4 {m}^{2}  - 4 {n}^{2}  + 4 {n}^{2} - 4 {m}^{2}   - 8mn \\ 2 \times 2m \times ( - 2n) =  - 8mn \\  - 8mn =  - 8mnчто и требовалось доказать.
  • Добавить свой ответ

Еще вопросы

Войти через Google

или

Забыли пароль?

У меня нет аккаунта, я хочу Зарегистрироваться

How much to ban the user?
1 hour 1 day 100 years