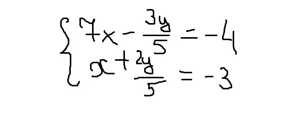
• Решите систему уравнений методом подстановки:

    question img

Ответы 6

  • хм а почему +2 в конце? ведь 2*(-5)=-10, -10/5=-2 и -3-2 = 5? господи неужели я такой глупый аххахаа
    • Автор:

      blue89
    • 6 лет назад
    • 0
  • -3-(-2)
    • Автор:

      tiger1hok
    • 6 лет назад
    • 0
  • -3 + 2 = -1
    • Автор:

      finn50
    • 6 лет назад
    • 0
  • все, понял, спасибо. даже забыл про этот минус аххахаха
    • Автор:

      tracker
    • 6 лет назад
    • 0
  • =)
  • 7x -  \frac{3y}{5}  =  - 4 \\ x +  \frac{2y}{5}  =  - 3 \\  \\ x =  - 3 -  \frac{2y}{5}  \\ 7( - 3 -  \frac{2y}{5} ) -  \frac{3y}{5}  =  - 4 \\  \\ x =  - 3 -   \frac{2y}{5}  \\  - 21 -  \frac{14y}{5}  -  \frac{3y}{5}  =  - 4 \\  \\  \\ x =  - 3 -  \frac{2y}{5}  \\  -  \frac{17y}{5}  = 17 \\  \\  x =  - 3 -  \frac{2y}{5}  \\  - 17y = 85 \\  \\ y =  - 5 \\ x =  - 3 -  \frac{2y}{5}  \\  \\ y =  - 5 \\ x =  - 3 -  \frac{2 \times ( - 5)}{5}  =  - 3 + 2 =  - 1Ответ: (-1; -5)
  • Добавить свой ответ

Войти через Google

или

Забыли пароль?

У меня нет аккаунта, я хочу Зарегистрироваться

How much to ban the user?
1 hour 1 day 100 years