• помогите решить 3
     примера с дробью. Внимательно!!!!

    question img

Ответы 1

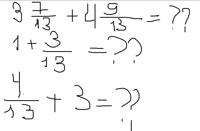
  • 3 \frac{7}{13}  + 4 \frac{9}{13}  = 7 \frac{16}{13}  = 8 \frac{3}{13} 1 +  \frac{3}{13}  = 1 \frac{3}{13}  \frac{4}{13}  + 3 = 3 \frac{4}{13}
  • Добавить свой ответ

Войти через Google

или

Забыли пароль?

У меня нет аккаунта, я хочу Зарегистрироваться

How much to ban the user?
1 hour 1 day 100 years