• Пожалуйста помогите решить лучше в виде фото для 5 классов помогите

    question img

Ответы 6

  • поверь в ругу лиц моего общения я уже старый
    • Автор:

      dante1uvw
    • 6 лет назад
    • 0
  • хаха очень смешно 12 но скоро 13
  • но я не хочу стареть как ты
    • Автор:

      rockyxsr2
    • 6 лет назад
    • 0
  • удачи тебе
  • Спасибо
    • Автор:

      buddy
    • 6 лет назад
    • 0
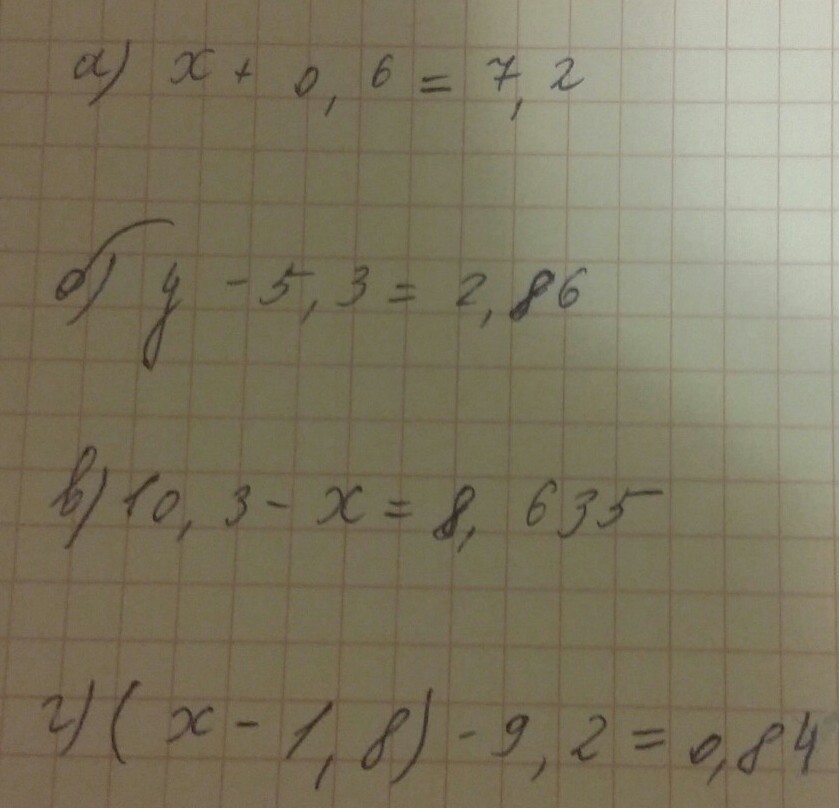
  • а)

    x+0,6=7,2

    х=7,2-0,6

    х = 6,6

    в) у-5,3=2,86

    у = 5,6+2,86

    у = 8,46

    б)

    10,3-х=8,635

    х=10,3-8,635

    х=1,665

    г)

    (х-1,8)-9,2=0,84

    • Автор:

      butternut
    • 6 лет назад
    • 0
  • Добавить свой ответ

Войти через Google

или

Забыли пароль?

У меня нет аккаунта, я хочу Зарегистрироваться

How much to ban the user?
1 hour 1 day 100 years