• Упростить. Помогите разобраться пожалуйста очень надо!!!!!

    question img

Ответы 2

  • спасибо большое
    • Автор:

      ahmady7eq
    • 6 лет назад
    • 0
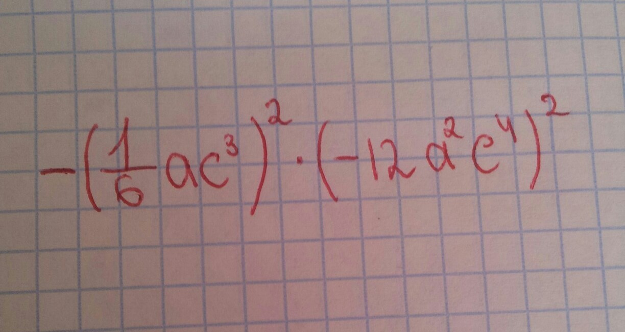
  • =-1/36а²с⁶*144а⁴с⁸=-4а⁶с¹⁴

  • Добавить свой ответ

Еще вопросы

Войти через Google

или

Забыли пароль?

У меня нет аккаунта, я хочу Зарегистрироваться

How much to ban the user?
1 hour 1 day 100 years