• Помогите решить уравнения!
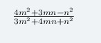
    во вторм вложении [tex]\frac{m}{n}=\frac{5}{12}[/tex]

    question img
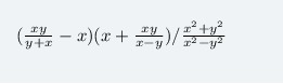
    question img

Ответы 1

  • только первое смогла
    answer img
    • Автор:

      summer
    • 6 лет назад
    • 0
  • Добавить свой ответ

Войти через Google

или

Забыли пароль?

У меня нет аккаунта, я хочу Зарегистрироваться

How much to ban the user?
1 hour 1 day 100 years