• ПОМОГИТЕ ПОЖАЛУЙСТА!!! ОЧЕНЬ СРОЧНО. НУЖНО ДЕЛАТЬ ЧЕРЕЗ ОДЗ

    question img

Ответы 4

  • благодарю❤
  • можете пожалуйста ещё раз помочь?
  • можете пожалуйста еще раз помочь?
    • Автор:

      gunther
    • 6 лет назад
    • 0
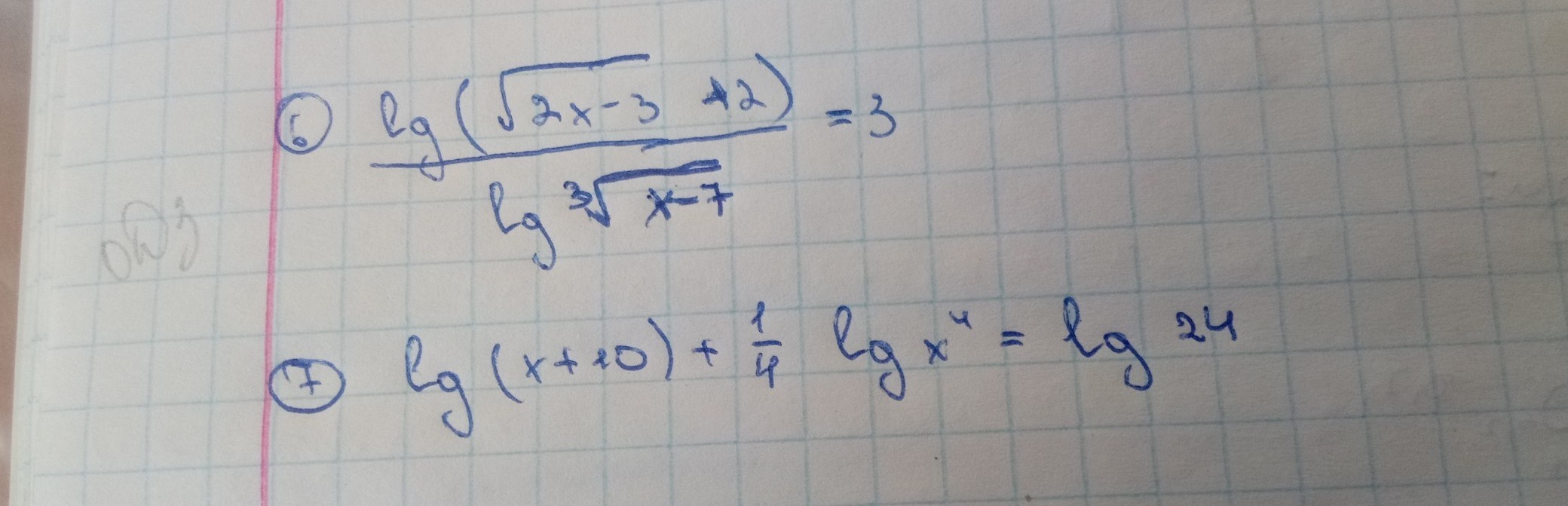
  • 1) ОДЗ: x>7; xeq 8

    \lg{(\sqrt{2x-3}+2)}=3\lg{\sqrt[3]{x-7}}

    \lg{(\sqrt{2x-3}+2)}=\lg{(x-7)}

    \sqrt{2x-3}=x-7-2

    \left \{ {{2x-3=(x-9)^2} \atop {x \geq 9}} ight.

    Из 1-го уравнения корни x=6; \ x=14. Удовлетворяет только x=14

    Ответ: 14

    2) ОДЗ: x>-10, x eq 0

    \lg{(|x|(x+10))}=\lg{24}

    |x|(x+10)=24

    Тут корни x=-6; \ x=-4; x=2. Они все удовлетворяют ОДЗ

    Ответ: -6; -4; 2

  • Добавить свой ответ

Еще вопросы

Войти через Google

или

Забыли пароль?

У меня нет аккаунта, я хочу Зарегистрироваться

How much to ban the user?
1 hour 1 day 100 years