• Привет! Помоги решить желательно подробно. Это 10 класс действительные числа.

    question img

Ответы 2

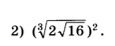
  • последоаательно: √4², ³✓2³, 2²=4
  • =4

    последовательно: √4²=4, ³✓2³=2, 2²=4

    • Автор:

      adalynn
    • 6 лет назад
    • 0
  • Добавить свой ответ

Войти через Google

или

Забыли пароль?

У меня нет аккаунта, я хочу Зарегистрироваться

How much to ban the user?
1 hour 1 day 100 years