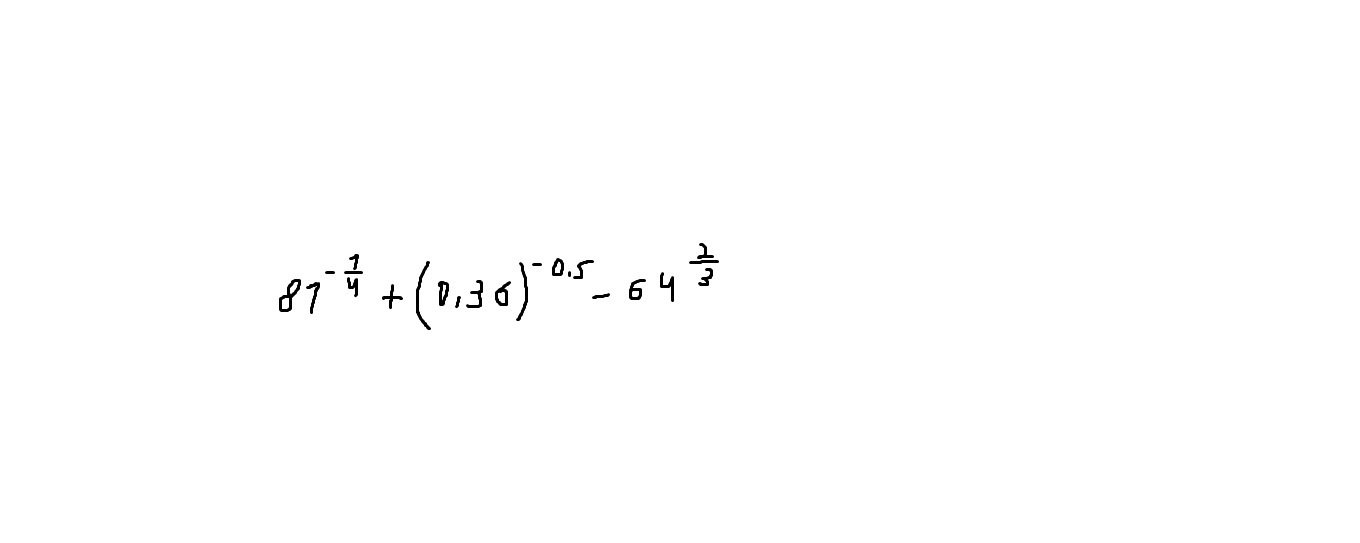
• 81 степень минус одна четвертая плюс (0.36) степени -0.5 - 64 степени 2 третих

    question img

Ответы 1

  • Используя свойства степеней, получим 1/корень 4 степени из 81+1/√0,36-

    ∛64^2=1/3+1/0,6-9=1/3+1:3/5-9=1/3+5/3-9=2-9=-7

  • Добавить свой ответ

Войти через Google

или

Забыли пароль?

У меня нет аккаунта, я хочу Зарегистрироваться

How much to ban the user?
1 hour 1 day 100 years