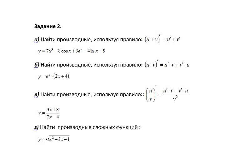
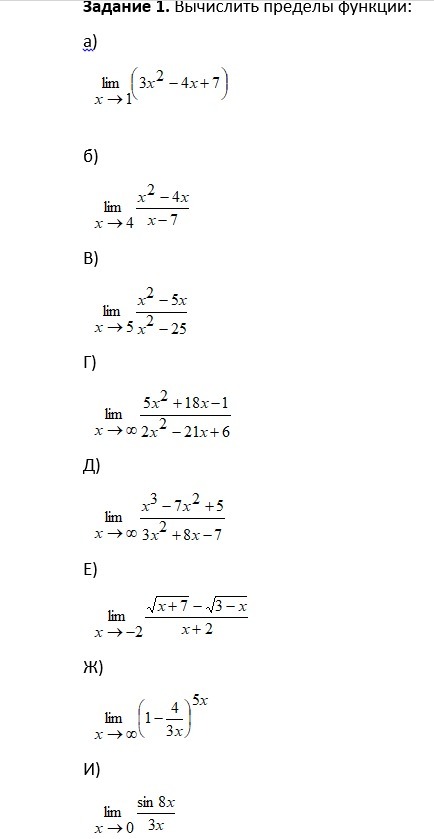
• Помогите с математикой пожалуйста
    3 задания разделил по скриншотам

    question img
    question img
    question img

Ответы 1

  • Ловите разбор всех трёх. Удачи!

    answer img
    • Автор:

      fuzzy6pkh
    • 6 лет назад
    • 0
  • Добавить свой ответ

Войти через Google

или

Забыли пароль?

У меня нет аккаунта, я хочу Зарегистрироваться

How much to ban the user?
1 hour 1 day 100 years