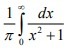
• Вычислить несобственный интеграл или указать его расходимость:

    напишите подробно решение

    question img

Ответы 1

  • Интеграл сходится в 1/2. Ловите разбор. Удачи вам!

    answer img
  • Добавить свой ответ

Еще вопросы

Войти через Google

или

Забыли пароль?

У меня нет аккаунта, я хочу Зарегистрироваться

How much to ban the user?
1 hour 1 day 100 years