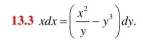
• решить дифференциальное уравнение
    x*dx=((x^2)/y-y^3)*dy

    question img

Ответы 1

  • Ловите! Это один из моих любимых видов обыкновенных ДУ, поэтому привёл подробный разбор. Enjoy! Lol Удачи вам!

    answer img
  • Добавить свой ответ

Войти через Google

или

Забыли пароль?

У меня нет аккаунта, я хочу Зарегистрироваться

How much to ban the user?
1 hour 1 day 100 years