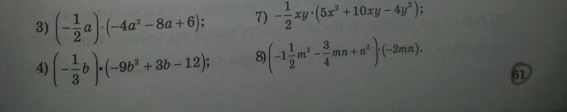
• преобразуйте член в многочлен пожалуйста срочно помогите мы с братом уже два часа воюем

    question img

Ответы 1

  • Добрый день! В 7) и 8) Если вам необходимо полностью раскрыть скобки, то просто умножьте каждый член в скобки на вынесенный общий множитель.

    answer img
  • Добавить свой ответ

Войти через Google

или

Забыли пароль?

У меня нет аккаунта, я хочу Зарегистрироваться

How much to ban the user?
1 hour 1 day 100 years