Ответы 2

  • как у вас получилось (x-1)/(X+2)(X+4)
    • Автор:

      monabarry
    • 6 лет назад
    • 0
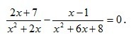
  • (2x+7)/x(x+2)- (X-1)/X+2)(x+4)=0  умножим обе части ур-ия на  х(х+2)(х+4)≠0

    (2х+7)(х+4) - (х-1) х=0

    2х²+15х+28-х² +х=0

    х²+16х+28=0

    х= -14  или х= - 2- не удовлетворяет

    ответ -14

    • Автор:

      frost
    • 6 лет назад
    • 0
  • Добавить свой ответ

Еще вопросы

Войти через Google

или

Забыли пароль?

У меня нет аккаунта, я хочу Зарегистрироваться

How much to ban the user?
1 hour 1 day 100 years