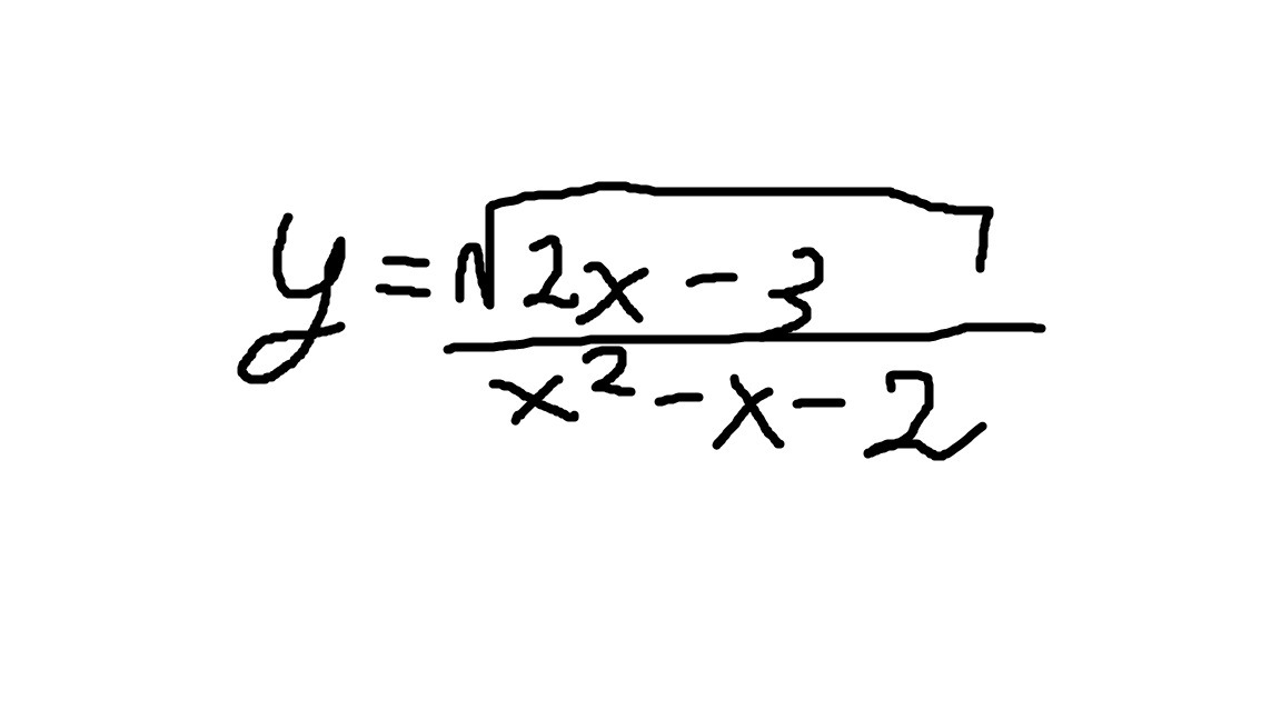
• Решите пожалуйста... Очень срочно надо.. Буду благодарна

    question img
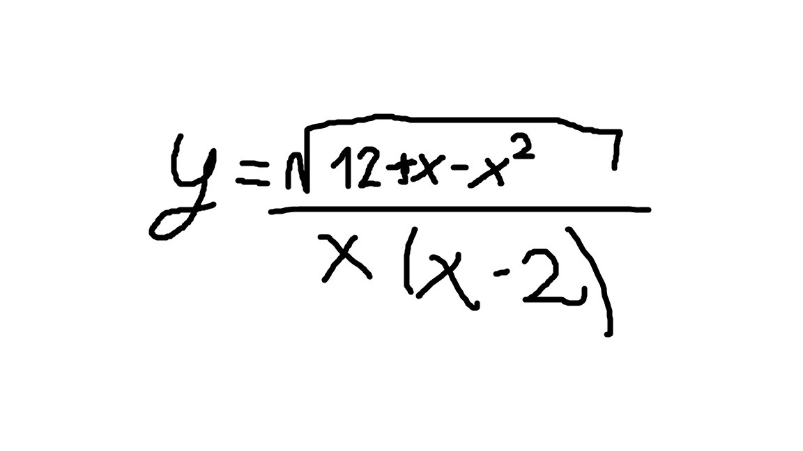
    question img

Ответы 2

  • решить уравнение
    • Автор:

      jackson72
    • 6 лет назад
    • 0
  • я не поняла, тебе график или?
    answer img
    • Автор:

      jeremiah
    • 6 лет назад
    • 0
  • Добавить свой ответ

Еще вопросы

Войти через Google

или

Забыли пароль?

У меня нет аккаунта, я хочу Зарегистрироваться

How much to ban the user?
1 hour 1 day 100 years