• Срочно!!!Скоро в школу!!! Помогите!!!Немножко начала,а дальше не могу!!!

    question img

Ответы 2

  • Спасибочки
    • Автор:

      juan31
    • 6 лет назад
    • 0
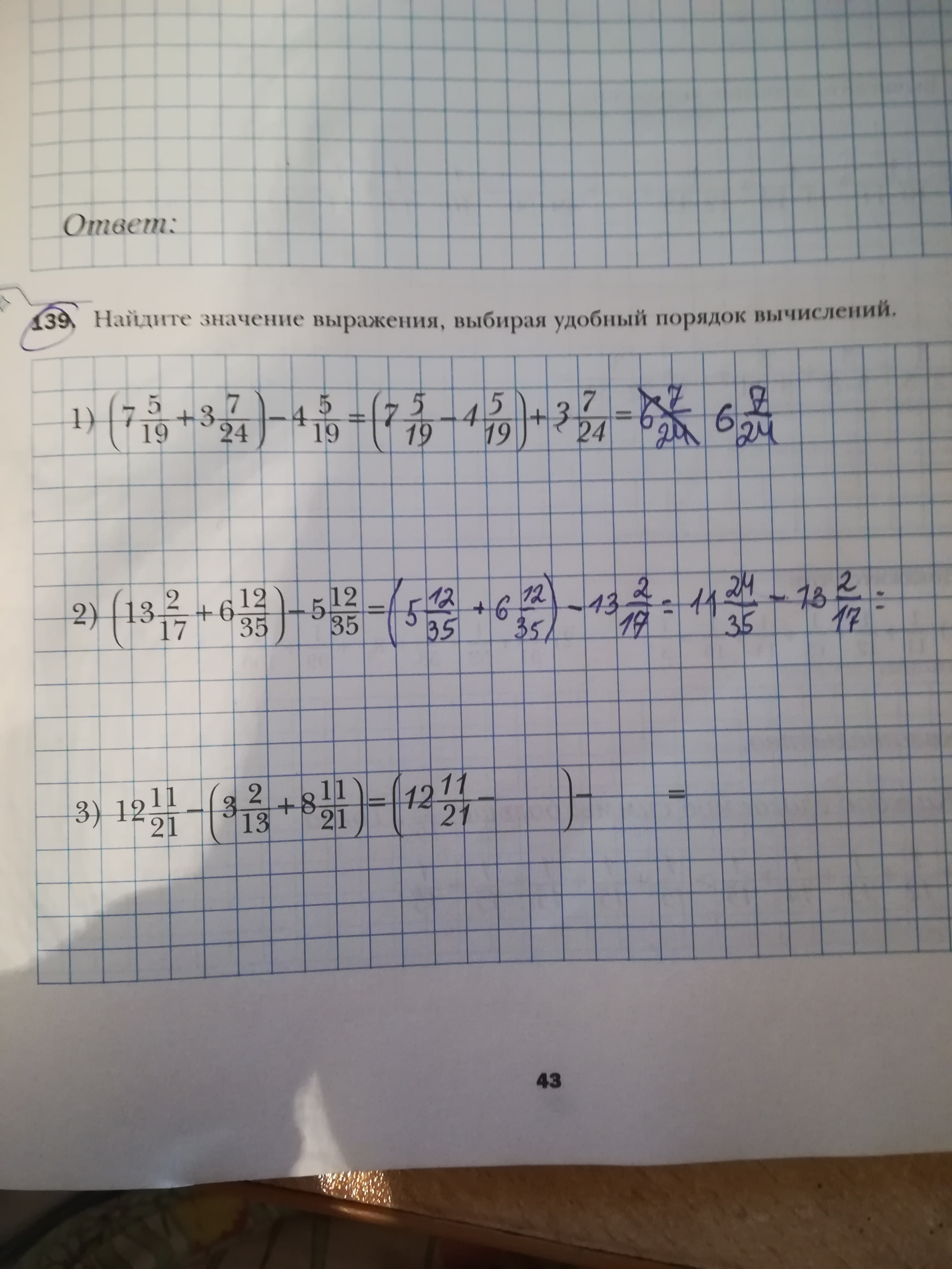
  • 1) Правильно.2) 14 (целых) 2/73) 11/13
    • Автор:

      cadence
    • 6 лет назад
    • 0
  • Добавить свой ответ

Войти через Google

или

Забыли пароль?

У меня нет аккаунта, я хочу Зарегистрироваться

How much to ban the user?
1 hour 1 day 100 years