• Как это решать? Не знаю, как быть с "2x".
    Хотелось бы развёрнутое решение. Можно скрин с приложений автоматического решения, но лично я не нашёл таких, которые могли бы это решить.

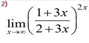
    question img

Ответы 6

  • понравилось ставь корону и лайкне понравилось спрашивай - будем разбираться
  • Сделай, пожалуйста, в письменном виде. Можно хоть в пэинте, главное, чтобы всё было хорошо видно.Теперь понятнее стало, но я всё равно плаваю в этих пределах x_x
    • Автор:

      maverick
    • 6 лет назад
    • 0
  • что непонятно напиши .... в пейнте в латексе и ворде не пишу
  • как перейти от одной точки решения к другой написал
  • ^ степень , / дробь
    • Автор:

      focker
    • 6 лет назад
    • 0
  • lim(x->∞)(1 + 1/a)^a = e

    это второй замечательный предел

    здесь он тоже просматривается , но до него надо сначала довести, а потом уже применить

    lim(x->∞) ((1+3x)/(2+3x))^2x =lim(x->∞) ((2+3x - 1)/(2+3x))^2x=lim(x->∞) (1 - 1/(2+3x))^2x

    вроде немного стало похоже , только минус перед дробью стоит и степень не равна знаменателю дроби,  теперь в таких примерах второй член доводится к (1/a) и степень подгоняется к a

    lim(x->∞)(1 - 1/(2+3x))^2x = lim(x->∞) (1 + 1/((2+3x)/-1))^2x = теперь степень =lim(x->∞) { [(1 + 1/((2+3x)/-1)]^ (2+3x)/-1} ^ (-1/(2+3x)*2x) =

    что сделали умножили степень на знаменатель дроби и на обратное ему число (2+3х)/-1 * -1/(2+3x) = 1 и кракозябра в фигурных скобках это число е

    = lim(x->∞) e^(-2x/(2+3x)) = необределенность -∞ делить на ∞ значит, делим на x числитель знаменатель в степени = lim(x->∞) e^(-2/(2/x+3) = e^(-2/(0+3) = e^(-2/3)    

    • Автор:

      josie90
    • 6 лет назад
    • 0
  • Добавить свой ответ

Войти через Google

или

Забыли пароль?

У меня нет аккаунта, я хочу Зарегистрироваться

How much to ban the user?
1 hour 1 day 100 years