• Выполните действия применение в Сочитательные свойства умножения

    question img

Ответы 2

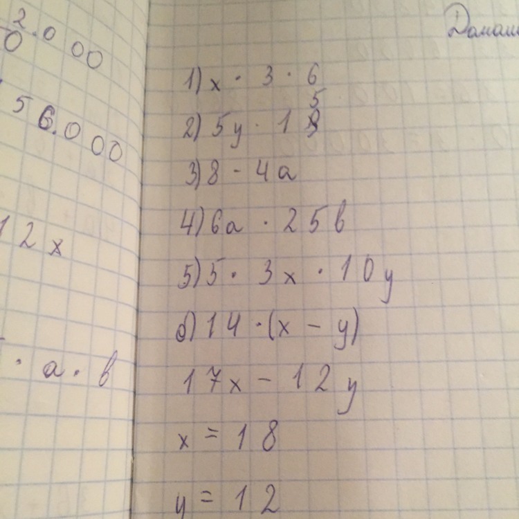
  • 6 не понятно, там = 14х-14у и все
    • Автор:

      finn155
    • 6 лет назад
    • 0
  • 1)=18х

    2)=75у

    3)=32а

    4)=150ab

    5)=150ху

    • Автор:

      finn155
    • 6 лет назад
    • 0
  • Добавить свой ответ

Войти через Google

или

Забыли пароль?

У меня нет аккаунта, я хочу Зарегистрироваться

How much to ban the user?
1 hour 1 day 100 years