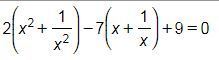
• Решите пожалуйста уравнение, желательно с ОДЗ и описанием

    question img

Ответы 3

  • Так какой ответ?
    • Автор:

      reagan
    • 6 лет назад
    • 0
  • я его даже обвел!
  • !!!!!!!!!!!!!!!!!!!!!!!!!1

    answer img
  • Добавить свой ответ

Войти через Google

или

Забыли пароль?

У меня нет аккаунта, я хочу Зарегистрироваться

How much to ban the user?
1 hour 1 day 100 years