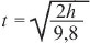
• Футбольный мяч подброшен на высоту h метров. Время, за которое этот мяч падает с заданной высоты, можно найти по формуле(формула на картинке) . Найдите время t, если мяч подброшен на высоту 20 м.

    question img

Ответы 1

  • Если все посчитать получится t = 2,02c

  • Добавить свой ответ

Войти через Google

или

Забыли пароль?

У меня нет аккаунта, я хочу Зарегистрироваться

How much to ban the user?
1 hour 1 day 100 years