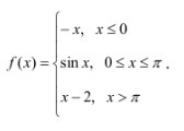
• Функция y = f (x) задана различными аналитическими выражениями в
    различных областях изменения независимой переменной. Найти точки разрыва
    функции, если они существуют, и построить график функции.

    question img

Ответы 7

  • и по линеечке
    • Автор:

      kelley
    • 6 лет назад
    • 0
  • Значит гдде написано разрыв ,там не надо это писать?
    • Автор:

      ashlynn
    • 6 лет назад
    • 0
  • Там и раньше не надо было писать. Это я пояснил, что такое разрыв и где он есть.
    • Автор:

      brooke53
    • 6 лет назад
    • 0
  • Сам разрыв -это скачок функции вверх при переходе х=π, видишь?
    • Автор:

      garcía23
    • 6 лет назад
    • 0
  • А в точке 0 его не было и нет, там "излом" функции
  • Разрыв в т. х=πСлева у=0, справа у>π-2
    answer img
  • Разрыв в т. x=ттСлева y=0, Справа y>тт-2
    answer img
    • Автор:

      orozco
    • 6 лет назад
    • 0
  • Добавить свой ответ

Войти через Google

или

Забыли пароль?

У меня нет аккаунта, я хочу Зарегистрироваться

How much to ban the user?
1 hour 1 day 100 years