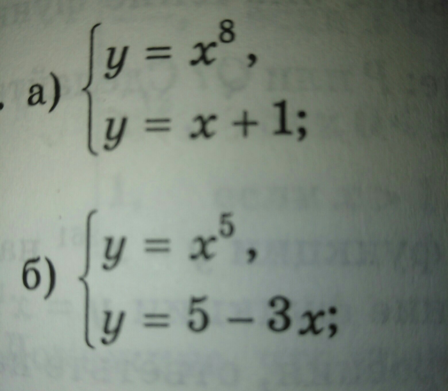
• определить число решений..как построить график у=х^5 и у=х^8?

    question img

Ответы 1

  • Задать ряд значений х и вычислить у (калькулятором), напримердля у=х^5: х=0;±0.4;±0.8;±1;±1.2 у=...для у=х^8: х=0;±0.6;±0.8;±0.9;±1;±1.2 у=...Нанести точки и плавно соединить
    • Автор:

      huggie
    • 6 лет назад
    • 0
  • Добавить свой ответ

Войти через Google

или

Забыли пароль?

У меня нет аккаунта, я хочу Зарегистрироваться

How much to ban the user?
1 hour 1 day 100 years