• ХЕЛПИ ПЛИЗ пожалуйста умаляю я объяснение если можно пж пжпжпжпжпжпжж

    question img

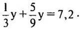
Ответы 1

  • Ответ:  у = 8,1

    Пошаговое объяснение:

    складываем  значения в левой части уравнения.

    1/3у + 5/9у = 8/9у

    8/9у = 7,2

    десятичную дробь в правой части заменяем смешанной дробью.   7,2 = 7 2/10 = 7 1/5

    8/9у  = 7 1/5

    у = 7 1/5 : 8/9

    у = 36/5 * 9/8

    у = 81/10= 8,1

    • Автор:

      roxieqvsl
    • 6 лет назад
    • 0
  • Добавить свой ответ

Еще вопросы

Войти через Google

или

Забыли пароль?

У меня нет аккаунта, я хочу Зарегистрироваться

How much to ban the user?
1 hour 1 day 100 years