• Иррациональные уравнения.При решении данных примеров грехи смываются сами собой!

    question img

Ответы 1

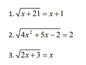
  • 1. √(x+21) = x + 1

    ОДЗ  х + 21 ≥ 0 x ≥ - 21  подкоренное выражение больше равно 0

    x + 1 ≥ 0  x ≥ - 1 корень четной степени больше равен 0

    x∈[ -1 +∞)

    x + 21 = (x+1)²

    x + 21 = x² + 2x + 1

    x² + x - 20 = 0

    D=b²-4ac=1 -4*(-20)= 81 = 9²

    x12=(-1+-9)/2 = -5 4

    Корень х1 = - 5 не входит в ОДЗ

    x = 4 - Да

    2. √(4*x² + 5*x - 2) = 2

    ОДЗ 4*x² + 5*x - 2 ≥ 0  

    D=25 + 4*4*(-2)=25 + 32 = 57

    x12=(- 5 +-√57)/8  

    x∈(-∞,(-5-√57)/8]∪[(-5+√57)/8 , +∞ )

    √57 ≈ 7.5      x∈≈(-∞, -1.5] U [0.3,  +∞)

    возводим в квадрат

    4*x² + 5*x - 2 = 4

    4*x² + 5*x - 6 = 0

    D = 25 - 4*(-6)*4 = 225 + 96 = 121 = 11²  

    х12=(-5+-11)/8= -2  3/4

    х = -2  да

    х = 3/4  да

    3. √(2*х+3) = х

    ОДЗ  2*x + 3 ≥ 0  x ≥ - 1.5  подкоренное выражение больше равно 0

    х ≥0 корень четной степни больше равен 0  

    х ∈[ 0 +∞)

    Возводим в квадрат обе части

    2x + 3 = x²

    x² - 2*x - 3 = 0  

    D = 4 - 4 *(-3) = 16 = 4²

    x12 = (2 +-4)/2 = -1  3

    x= -1  не входит в ОДЗ

    х = 3 - да

    ОТВЕТ ч=3

    • Автор:

      haley
    • 6 лет назад
    • 0
  • Добавить свой ответ

Еще вопросы

Войти через Google

или

Забыли пароль?

У меня нет аккаунта, я хочу Зарегистрироваться

How much to ban the user?
1 hour 1 day 100 years