• Всем привет. Стоит задача: "Вычислить пределы функций, не пользуясь средствами дифференциального исчисления".

    Можно ли будет решить данный пример через нахождение корней через дискриминант? Это не будет считаться что я использую "средства дифференциального исчисления" ?

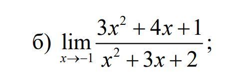
    question img

Ответы 6

  • Так и думал, спасибо!
  • Хотя я не уверен, потому что в знаменателе в итоге должна ещё быть цифра 3 3(x+1/3) и в итоге в ответе будет -6/3 = -2
  • Проверьте пожалуйста!
  • Точнее это не в знаменателе, а в числителе!
  • Можете помочь с аналогичными заданиями? у меня в профиле. Буду благодарен
    • Автор:

      mary7
    • 6 лет назад
    • 0
  • Пошаговое объяснение:

    Решаем каждое квадратное уравнение отдельно и потом сокращаем неопределенность.

    В числителе:  3*x² + 4x + 1 = 3*(x + 1/3)*(x+1)

    В знаменателе: x² + 3*x + 2 = (x+2)*(x+1)

    Сократили и получили:

    lim(x->-1) = 3*(x+ 1/3)/(x+2) = - 2 - ОТВЕТ

    • Автор:

      jennatava
    • 6 лет назад
    • 0
  • Добавить свой ответ

Войти через Google

или

Забыли пароль?

У меня нет аккаунта, я хочу Зарегистрироваться

How much to ban the user?
1 hour 1 day 100 years