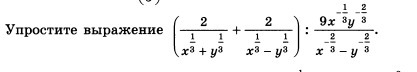
• Упростите выражение , буду очень признателен.
    Выплачу 20 рублей на qiwi кто решит. (Ответ: -4/9)

    question img

Ответы 1

  •  \displaystyle \tt \ \ \ \bigg(\frac{2}{x^{1/3}+y^{1/3}}+\frac{2}{x^{1/3}-y^{1/3}}\bigg):\frac{9x^{-1/3}y^{-2/3}}{x^{-2/3}-y^{-2/3}}=\\\\\\=\frac{2(x^{1/3}-y^{1/3})+2(x^{1/3}+y^{1/3})}{x^{2/3}-y^{2/3}}\cdot\frac{x^{-2/3}-y^{-2/3}}{9x^{-1/3}y^{-2/3}}=\\\\\\=\frac{4x^{1/3}x^{1/3}y^{2/3}(x^{-2/3}-y^{-2/3})}{9\cdot(x^{2/3}-y^{2/3})}=\frac{4x^{2/3}x^{-2/3}y^{2/3}-4x^{2/3}y^{2/3}y^{-2/3}}{9\cdot(x^{2/3}-y^{2/3})}=\\\\\\

    \displaystyle \tt {} \ \ =\frac{4y^{2/3}-4x^{2/3}}{9\cdot(x^{2/3}-y^{2/3})}=-\frac{4\cdot(x^{2/3}-y^{2/3})}{9\cdot(x^{2/3}-y^{2/3})}=-\frac{4}{9};

    • Автор:

      jared493
    • 6 лет назад
    • 0
  • Добавить свой ответ

Войти через Google

или

Забыли пароль?

У меня нет аккаунта, я хочу Зарегистрироваться

How much to ban the user?
1 hour 1 day 100 years