• Здравствуйте, прошу помочь мне с дробными рациональными уравнениями.

    question img
    question img
    question img

Ответы 1

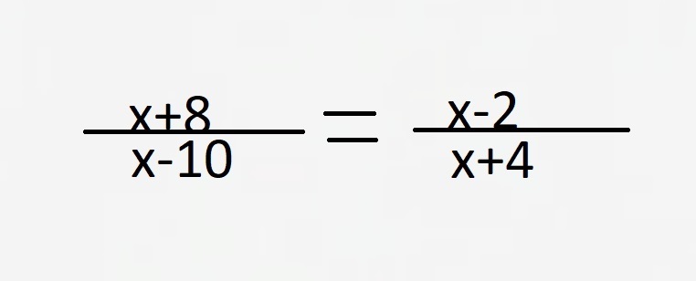
  • 1) Правило: \frac{a}{b} =\frac{c}{d}, a*d=b*c Перемножаем: (x+8)(x+4)=(x-10)(x-2), x^{2} +12x+3x=x^{2} -12x+20. Решаем: 24x=-12, x=-\frac{1}{2}

    2) Умножаем каждую часть на x чтобы избавиться от дроби. =\frac{120x}{x} =25x-x^{2} , 150=25x-x^{2}. Приводим к стандартному виду квадратного уравнения -x^{2} +25x-150=0. Решаем его: D=25, x_{1} = \frac{-25+5}{2*(-1)}=10 , x_{2} =\frac{-25-5}{2*(-1)}=15

    3) Перемножением по правилу \frac{a}{b} =\frac{c}{d}, a*d=b*c. Перемножаем: (x^{2}-10 )(2-x)=(x-2)*3x, -x^{3} -x^{2} +16x-20=0

    Пользуясь теоремой рациональных корней получаем: = (x-2)\frac{x^{3} +x^{2} -16x+20}{x-2} Сокращаем и получается = -(x-2)(x-2)(x+5)=0, -(x-2)^{2} (x+5)=0 Одним из множителей должен быть 0. Поэтому x=2, x=-5.

    После проверки в исходном выражении правильно только x=-5

    • Автор:

      bopkpv
    • 6 лет назад
    • 0
  • Добавить свой ответ

Войти через Google

или

Забыли пароль?

У меня нет аккаунта, я хочу Зарегистрироваться

How much to ban the user?
1 hour 1 day 100 years