• помогите решить систему методом алгебраического сложения, пожалуйста :(

    question img

Ответы 5

  • спасибо огромное
    • Автор:

      katelyn
    • 6 лет назад
    • 0
  • нужно было без метода замены переменных, но всё же всё равно спасибо :з
  • пожалуйста
    • Автор:

      slinky
    • 6 лет назад
    • 0
  • Ответ:

    Пошаговое объяснение:

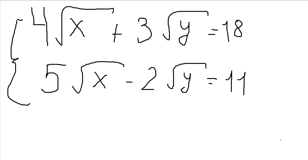
    \left \{ {{4\sqrt{x}+3\sqrt{y} = 18 } \atop {5\sqrt{x}-2\sqrt{y} = 11 }} ight.

    \left \{ {{8\sqrt{x}+6\sqrt{y} = 36 } \atop {15\sqrt{x}-6\sqrt{y} = 33 }} ight.

    8\sqrt{x} +15\sqrt{x} =69

    23\sqrt{x} =69

    sqrt{x} =3

    x =9

    12+3/sqrt{y} =18

    3/sqrt{y} =6

    sqrt{y} =2

    y}=4

  • решение задания смотри на фотографии
    answer img
  • Добавить свой ответ

Войти через Google

или

Забыли пароль?

У меня нет аккаунта, я хочу Зарегистрироваться

How much to ban the user?
1 hour 1 day 100 years