• Срочно решите умоляю(
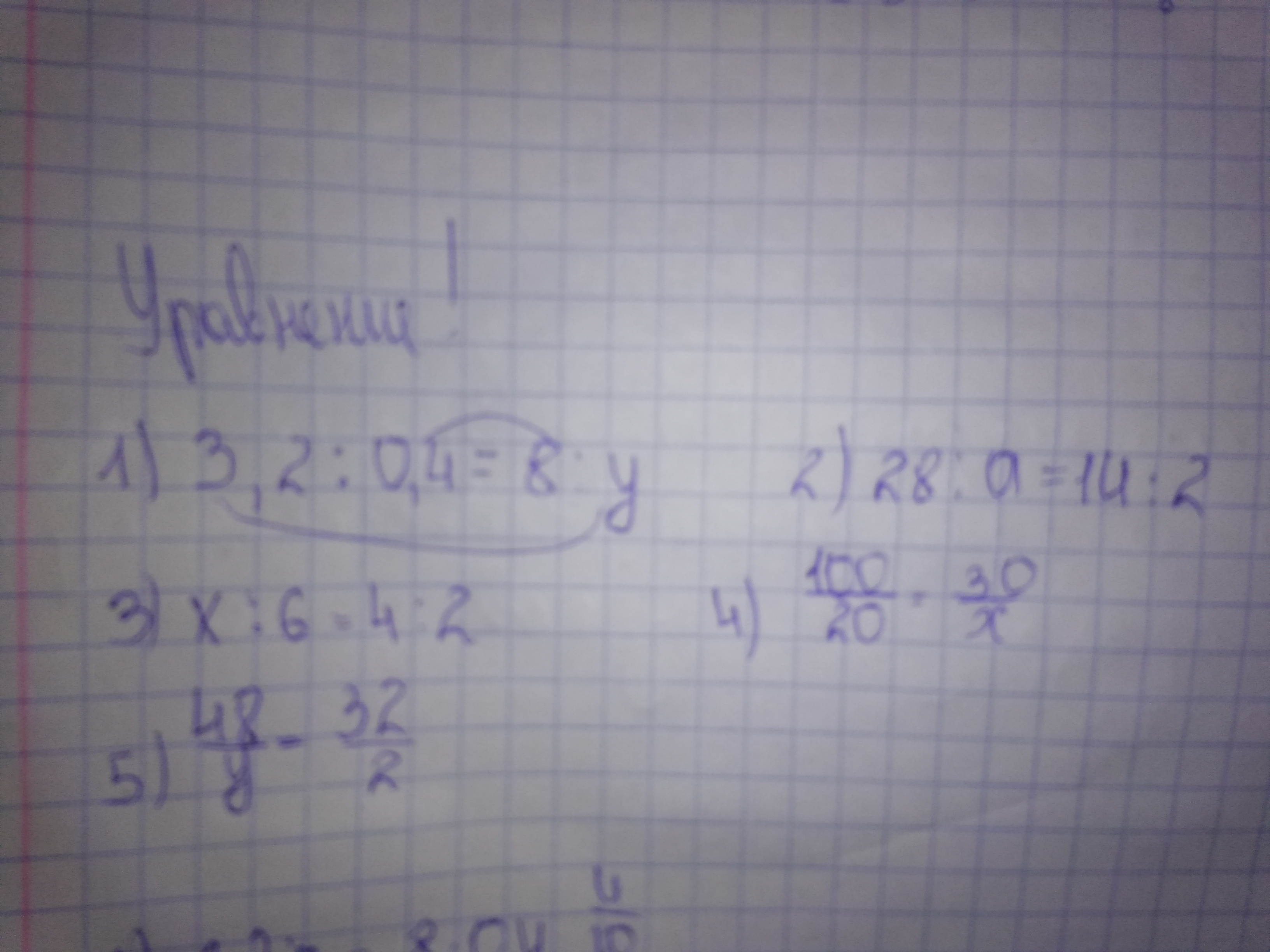
    1) 3,2:0,4=8:у
    2)28:а=14:2
    3)х:6=4:2
    4)100/20=30/х
    5) 48/у= 32/2

    question img

Ответы 1

  • Привет, всегда рада помочь, решение на фотографии)
    answer img
  • Добавить свой ответ

Войти через Google

или

Забыли пароль?

У меня нет аккаунта, я хочу Зарегистрироваться

How much to ban the user?
1 hour 1 day 100 years