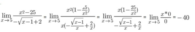
• Как в нижеприведенном решении предела получилось значение "-40"?

    question img

Ответы 1

  • Смотри фото во вложении, если что-то поймёшь, конечно.

    answer img
    • Автор:

      velez
    • 6 лет назад
    • 0
  • Добавить свой ответ

Войти через Google

или

Забыли пароль?

У меня нет аккаунта, я хочу Зарегистрироваться

How much to ban the user?
1 hour 1 day 100 years