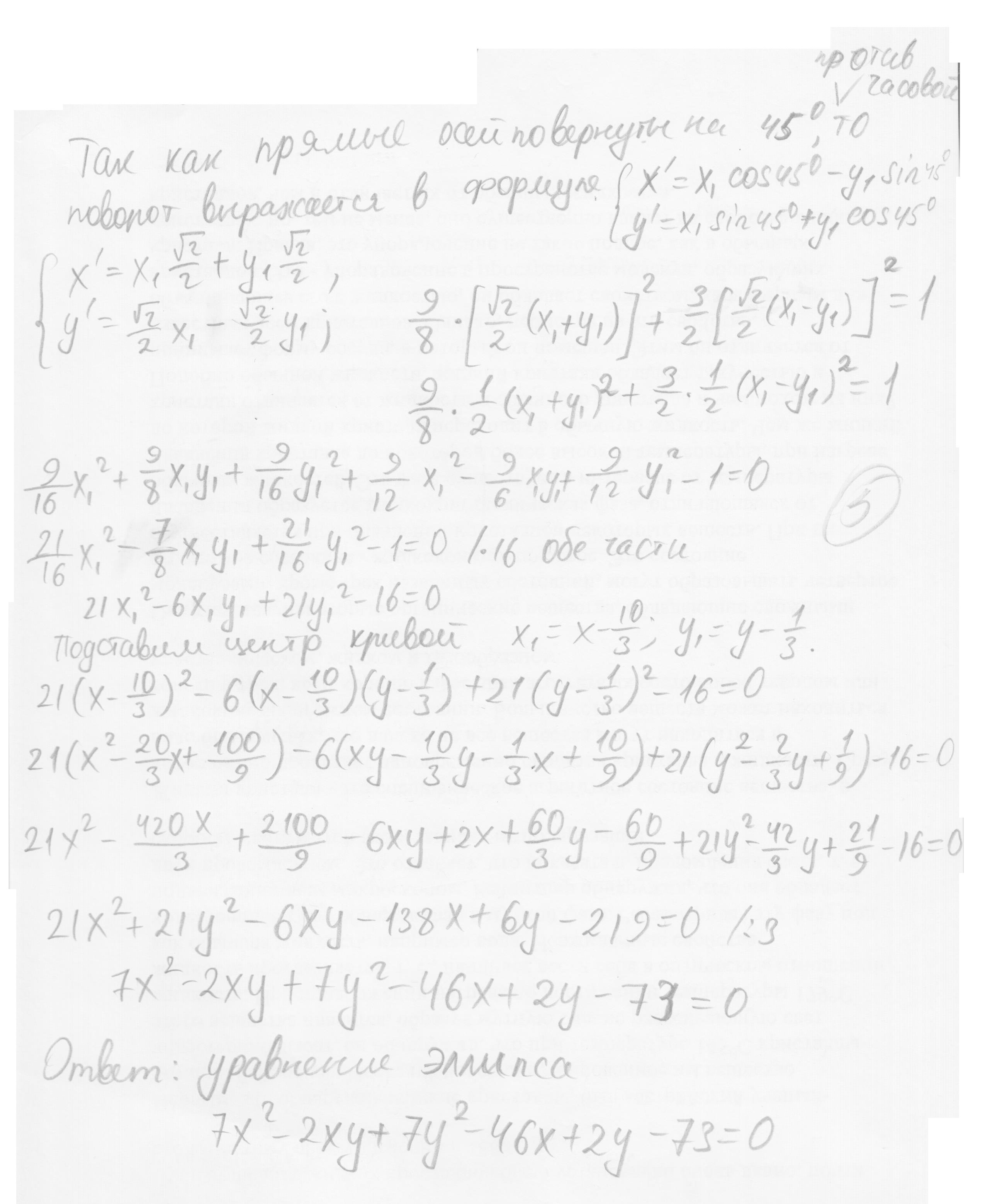
• Составить уравнение эллипса, если известны его эксцентриситет е=1/2, фокус F(3,0) и уравнение соответствующей директрисы x+y-1=0.

Ответы 1

  • Ответ:

    7x²-2xy+7y²-46x+2y-73=0

    Пошаговое объяснение:

    Решение в приложении. Надеюсь, будет понятно

    answer img
    answer img
    answer img
    answer img
    answer img
  • Добавить свой ответ

Еще вопросы

Войти через Google

или

Забыли пароль?

У меня нет аккаунта, я хочу Зарегистрироваться

How much to ban the user?
1 hour 1 day 100 years