• Нужно подробное решение этих примеров, желательно на листе.
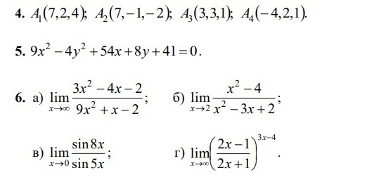
    4. Даны координаты точек
    A1, A2, A3, A4.
    а) вычислить объём тетраэдра A1 A2 A3 A4;

    б) составить уравнение плоскости A1 A2 A3;

    в) составить уравнение прямой A3 A4.

    5. Назвать и построить кривую.
    6. Найти пределы функций, не пользуясь правилом Лопиталя

    question img

Ответы 3

  • Могли бы вы посмотреть остальные мои задачи? (они должны отображаться у меня в профиле)
  • Спасибо и с новым годом)
  • 4. Даны координаты точек: A1(7; 2; 4), A(7; -1; -2), A3(3; 3; 1), A4(-4; 2; 1).

    а) вычислить объём тетраэдра A1 A2 A3 A4.

    Находим координаты векторов:

    A1 A2  = (0; -3; -6),

    A1 A3 = (-4; 1; -3).

    A1 A4 = (-11; 0; -3).

    Находим векторное произведение (A1 A2) х A1 A3).

    Произведение векторов a × b = {aybz - azby; azbx - axbz; axby - aybx}      Подставив данные, получаем:                    x   y    z

       (A1 A2) х A1 A3) =  15 24 -12.

    Теперь определяем смешанное произведение векторов:

    (A1 A2) х A1 A3) х (A1 A4) = abs(a{x1, y1, z1} ; b{x2, y2, z2} ; c{x3, y3, z3})= x3·a1+y3·a2+z3·a3.

    (A1 A2) х A1 A3) х (A1 A4) = |(15*(-11) + (24*0+ (-12)*(-3))| = |-165 + 0 + 36| = 129.    

    Объём пирамиды равен (1/6)*129 = 21,5 куб.ед.

    б) составить уравнение плоскости A1 A2 A3.

    Если вектор N(A1 А2)  - вектор-нормаль плоскости, а точка M

    0(x0; y0; z0) - лежит на плоскости, то уравнение плоскости можно найти по формуле:  

    A(x − x0) + B(y − y0) + C(z − z0) = 0.

    Т.к. векторное произведение - это вектор ортогональный векторам в произведении, то в качестве вектор-нормали плоскости можно взять векторное произведение любых неколлинеарных векторов лежащих на плоскости. Возьмём  вектор А1А2, который уже определён.

    В качестве точки лежащей на плоскости можно взять любую из трех данных точек. Возьмём точку A1(7;  2;  4).

    Подставим в формулу найденные числа и раскроем скобки:

    15(x  − 7)  + 24(y  −  2)  −  12(z −  4)  = 0.

    15x  +  24y  − 12z  −105 =  0    или, сократив на 3, получаем:

    5x  + 8y  −  4z −  35  =  0.

    в) составить уравнение прямой A3(3; 3; 1), A4(-4; 2; 1).

    (x - 3)/(-7) = (y - 3)/(-1) = (z - 1)/0 = 0. Это каноническое уравнение.

    Параметрическое уравнение прямой:  

    x=3-7t  

    y=3-t  

    z=1+0t.

    5. Назвать и построить кривую: 9x² - 4y² + 54x + 8y + 41 = 0.

    Это уравнение гиперболы. Детали и график приведены в приложении.

    answer img
    • Автор:

      raul133
    • 6 лет назад
    • 0
  • Добавить свой ответ

Войти через Google

или

Забыли пароль?

У меня нет аккаунта, я хочу Зарегистрироваться

How much to ban the user?
1 hour 1 day 100 years