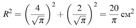
• Помогите пожалуйста. Почему в знаменателе pi без корня в итоге???

    question img

Ответы 1

  • Ответ:

    потому что возводится в квадрат

    Пошаговое объяснение:

    (\frac{4}{\sqrt{\pi } } )^{2} +(\frac{2}{\sqrt{\pi } } )^{2} = \frac{16}{\pi } +\frac{4}{\pi } =\frac{20}{\pi }

  • Добавить свой ответ

Войти через Google

или

Забыли пароль?

У меня нет аккаунта, я хочу Зарегистрироваться

How much to ban the user?
1 hour 1 day 100 years