• Очень нужно решить эти задания.

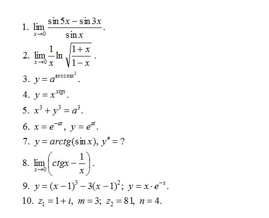
    1 — файл с самими выражениями
    2 — файл с условием заданий

    question img
    question img

Ответы 2

  • Не было применено правило по заданию (2 файл).
  • ....................
    answer img
    • Автор:

      rugerjvmp
    • 6 лет назад
    • 0
  • Добавить свой ответ

Войти через Google

или

Забыли пароль?

У меня нет аккаунта, я хочу Зарегистрироваться

How much to ban the user?
1 hour 1 day 100 years