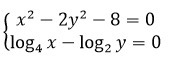
• Помогите решить систему!
    x^2-2y^2-8=0
    log 4 x - log 2 y=0

    question img

Ответы 1

  • Ответ:

    Пошаговое объяснение:

    Ответ на фото////////////////

    answer img
  • Добавить свой ответ

Войти через Google

или

Забыли пароль?

У меня нет аккаунта, я хочу Зарегистрироваться

How much to ban the user?
1 hour 1 day 100 years