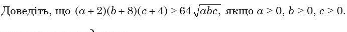
• Умоляю даю 20. 5 минут осталось чтоб решить. помогите

    question img

Ответы 1

  • кажется должно быть та3
    answer img
  • Добавить свой ответ

Войти через Google

или

Забыли пароль?

У меня нет аккаунта, я хочу Зарегистрироваться

How much to ban the user?
1 hour 1 day 100 years